연속형 데이터에 대해 MSA(측정시스템분석)을 수행할 때, 일반적으로 Gage R&R 연구를 사용합니다. Gage R&R 분석결과로써, %연구변동(%SV)과 구별 범주의 수(Number of Distinct Categories, ndc)를 확인합니다. 혹시 이런 생각을 해 보신적이 있을 수 있습니다. "이 두 가지 결과를 모두 보아야 할까?, 이 둘은 어떤 관련성이 있을까?"
예, 그렇습니다. 이 두 가지 결과를 모두 보셔야 하고 관련성이 있습니다. 그 이유를 수식으로 살펴 보겠습니다.
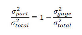
우리가 Gage R&R을 얘기 할 때 여러가지 변동을 감안해야 합니다.
1. total 변동 = part 변동 + gage 변동
2. gage 변동 = EV + AV
이중에서 ndc는 part 변동을 gage 변동으로 나눈값으로 명확하게 gage 변동보다 part 변동이 이 값을 넘어서 구별 할 수 있는 기준을 의미합니다.. 물론 계산의 원리로 보면 R&R 값과 동일 합니다.


맨 마지막의 수식을 보시면 ndc와 %연구변동(%SV)은 역 비율관계에 있다는 것을 보실 수 있습니다. 즉, %SV가 커지면 ndc는 작아집니다. 그러나 ndc는 %SV에만 의존(관련)되는 것은 아니며 분산 성분(Variance Component)과도 관련되어 있습니다. 분산 성분의 관점에서 수식을 표현해 보겠습니다.





위의 수식 과정을 통하여 최종적으로 %연구변동(%SV)과 ndc(구별범주의수) 관계에 대한 테이블을 만들 수가 있습니다.
측정시스템을 평가할 때 통상적으로 구별 범주의 수의 아래 기준으로 판단하고 있습니다.
* 구별 범주의 수 14 이상 : 측정시스템 채택가능(acceptable)
* 구별 범주의 수 4 - 13 : 상황을 고려하여 측정시스템 채택가능
* 구별 범주의 수 3 이하 : 측정시스템 채택불가(unacceptable), 개선 필요
하지만 위의 테이블과 구별 범주의 수 기준에서 볼 때 경계지점에서는 약간의 제한성(limitation)이 있을 수 있습니다. 예를 들어, %연구변동이 32%인 경우, 구별 범주의 수는 4가 됩니다. 구별 범주의 수는 선택될 여지가 있지만 AIAG에 따르면 %32는 수용 불가합니다. 이런 경우 불일치가 발생할 수 있습니다. 그래서 어떤 이들은 구별 범주의 수를 5 이상을 권장하기도 합니다. 그래서 %연구변동과 구별 범주의 수가 허용 기준 경계에 있을 때는 분석자의 주관적 판단을 더하거나 혹은 추가 분석이 필요할 수가 있습니다.
'품질이야기' 카테고리의 다른 글
| Big data... (0) | 2023.01.03 |
|---|---|
| "이건희 회장 말 듣다가 우리 망하는 거 아닌가" (0) | 2023.01.03 |
| 가성불량 (0) | 2022.12.21 |
| 시스템 표준화팀의 활동에 바람 (1) | 2022.12.21 |
| 검사장비관리 (0) | 2022.12.19 |